背景
当前位置:首页 > 药品推荐 > 海外 | 日本秋刀连续3年鱼荒!鲣鱼、金枪鱼、秋鲑的渔获情况也不乐观...

海外 | 日本秋刀连续3年鱼荒!鲣鱼、金枪鱼、秋鲑的渔获情况也不乐观...

  • 发布时间:2023-05-18 23:00:13

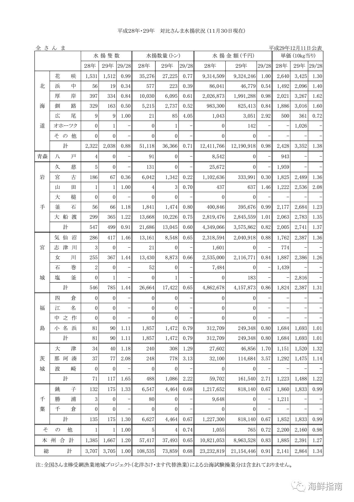
截止至2017年11月30日,今年日本秋刀鱼捕获量仅为773859吨,相比去年同期减产约32%,单价则上涨了34%。虽然还有一个月时间,但是今年的秋刀鱼总数量连十万吨都突破不了。



编译/ 海鲜指南(seafoof-guide) 王诗颖


日本全国秋刀鱼舷提网渔业协同组合(以下简称日本秋刀鱼协会)最新统计显示,截止至2017年11月30日,今年日本秋刀鱼捕获量仅为773859吨,相比去年同期减产约32%,单价则上涨了34%。虽然还有一个月时间,但是今年的秋刀鱼总数量连十万吨都突破不了。


秋刀鱼洄游主要途径渔港


各地情况与去年对比


日本秋刀鱼渔获量又创新低,多方原因致鱼荒 



这已经是秋刀鱼连续第三年鱼荒,对此,秋刀鱼协会的专务理事大石浩平表示,一般来说,连续两年鱼荒后,第三年渔获量会恢复以往水平,现在这种情况说明渔场太远或者秋刀鱼资源真的减少了。



1981年-2016年渔获量一览,预计2017年总量将少于十万吨


日媒曾于16年底就秋刀鱼减产原因做过专题报告,日本秋刀鱼专家巢山哲(东北区水产研究所主任研究员)称,日本秋刀鱼鱼荒的主要原因是日本近海秋刀鱼洄游量减少。



2010年左右,秋刀鱼的洄游和分布发生了巨大变化,秋刀鱼广泛分布在北太平洋,原有两条路线顺着千岛寒流南下,一条会顺着游进日本专属经济水域,第二条则游向公海。但是,随着北海道东侧暖水团的扩大,喜好低温的秋刀鱼更倾向于第二条路线。


钏路港今年七月捕捞上的第一批秋刀鱼


除此以外,因为秋刀鱼是短生命周期的中上层鱼类,其资源的波动受环境变化影响非常大,台风和水温上升也在一定程度上影响了秋刀鱼的最终渔获量。



还有一种说法是他国乱捕导致秋刀鱼资源减少。但在今年五月于上海召开的NPFC第2届科学分委会年会上,科学分委已达成一致意见,即当前秋刀鱼的资源量没有被过度捕捞,当前的捕捞强度也未到达过度捕捞状态,总体资源状况良好。


遭遇鱼荒的并不只有秋刀鱼


筑地市场鱼价 从左至右分别是秋刀鱼、秋鲑、大眼金枪鱼、鲣鱼


其实不止金枪鱼,鲣鱼、秋鲑等等也都因为鱼荒导致价格上涨。上图为十月末的筑地市场鱼价,相比去年有显著增长。十月份在北海道还发生过鲑鱼籽被盗事件,原因就是秋鲑减产导致鱼籽价格居高不下,高达去年两倍。


12月7日·札幌市内,尽管价格增高,选购腌鲑鱼作为年终贺礼的人依然很多 


北海道的秋鲑捕捞已基本结束,截止12月10日,今年的秋鲑捕捞量为平成以来(89年至今)最低,相比去年减产33%,渔获条数为1572万,腌鲑鱼的价格上涨约一成,为95年以来最高。但是人气不变,市场上十分钟内就卖出了200条。


至于到底是什么原因导致鱼荒,水温和资源变动如何影响渔获量,日本负责进行海洋调查的水产研究·教育机构称,这些还需要经过严密的科学调查,已决定向NOAA寻求调查研究上的帮助。

转载声明

海鲜指南独家稿件,如需转载请注明来源。

海鲜指南
一起探寻全球最好的海产品!
长按二维码 即刻关注

点击标题」可查看对应精选文章:


  1. 官方重磅发布:2017中国小龙虾产业发展报告(完整版)

  2. 小龙虾为什么会红遍全国?看完了它的前世今生,你就知道了

  3. 2017中国小龙虾十大品牌供应商名单

  4. 2017中国海产十大杰出女性名单

  5. 2016中国海产十大最具影响力年度人物名单

  6. 2016中国十大最具品牌影响力海产企业名单

  7. 19名江苏鱼贩子本色出演MTV蹿红网络!《平凡的水产人》唱哭了多少人?

  8. 越南永环创始人张丽卿:全球最大的巴沙鱼供应商将如何布局中国市场?

  9. 极鲜网CEO唐海峰独家回应质疑与发展,该讲的、不该讲的全讲了

  10. 拿下了外婆家、探鱼、鱼非鱼等50多家连锁餐饮品牌供应,三珍又要走一条怎样的不寻常路?

  11. 8个超市新零售样本来了!你更看好谁?未来海鲜零售该怎么做? 

  12. 为什么不要欠款?说出了多少水产人的心声! 

  13. 人工养殖带鱼初获成功=可以大规模养殖?恐怕还有点儿早

  14. 中国人餐桌上的鱼都是哪儿来的?

  15. 怎样才能成为一名资深的海鲜买手?

  16. 史上最全海鲜日历告诉你,吃海鲜有哪些套路?

  17. 学会了鱼的这25种做法,一个月都可以不重样!

  18. 三文鱼买回家怎么切、怎么做、怎么摆盘?以后不要再为这些问题犯愁了

  19. 泡药、包冰、冒充龙利鱼…我们误解了巴沙鱼什么?

  20.  鳕鱼应该怎么吃?这或许是最详细的鳕鱼食谱了,尤其适合孩子

  21. 敲黑板划重点!2017鳕鱼最新科普文(附多种创新吃法)


点击阅读原文」,查看海鲜指南精选文章合集~

友情链接